Warning - (w/h) only valid from 0.1 to 2.0
Warning - trace thickness t is invalid!
Warning - substrate height h is invalid!
Warning - trace width w is invalid!
Warning - dielectric constant εr is invalid!
Warning - invalid values!
Warning - (w/h) only valid from 0.1 to 2.0
Warning - trace thickness t is invalid!
Warning - substrate height h is invalid!
Warning - impedance Zo is invalid!
Warning - dielectric constant εr is invalid!
Warning - invalid values!
Warning - only valid for (h/hp) > 1.2
Warning - trace thickness t is invalid!
Warning - substrate height h is invalid!
Warning - trace height hp is invalid!
Warning - trace width w is invalid!
Warning - dielectric constant εr is invalid!
Warning - invalid values!
Warning - (w/h) only valid from 0.1 to 2.0
Warning - trace thickness t is invalid!
Warning - substrate height h is invalid!
Warning - trace width w is invalid!
Warning - trace spacing s is invalid!
Warning - dielectric constant εr is invalid!
Warning - invalid values!
Warning - (w/h) only valid from 0.1 to 2.0
Warning - trace thickness t is invalid!
Warning - impedance Zd is invalid!
Warning - substrate height h is invalid!
Warning - trace spacing s is invalid!
Warning - dielectric constant εr is invalid!
Warning - invalid values!
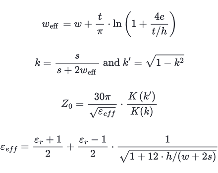
Warning - (t/h) only valid up to 0.25
Warning - (w/h) only valid from 0.1 to 2.0
Warning - trace thickness t is invalid!
Warning - substrate height h is invalid!
Warning - trace width w is invalid!
Warning - dielectric constant εr is invalid!
Warning - invalid values!
Warning - (t/ha) only valid up to 0.25
Warning - (t/hb) only valid up to 0.25
Warning - (w/ha) only valid from 0.1 to 2.0
Warning - (w/hb) only valid from 0.1 to 2.0
Warning - trace thickness t is invalid!
Warning - height above trace ha is invalid!
Warning - height below trace hb is invalid!
Warning - trace width w is invalid!
Warning - dielectric constant εr is invalid!
Warning - invalid values!
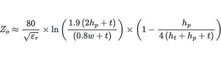
Warning - (t/hp) only valid up to 0.25
Warning - (w/hp) only valid from 0.1 to 2.0
Warning - trace thickness t is invalid!
Warning - height to plane hp is invalid!
Warning - height between traces ht is invalid!
Warning - trace width w is invalid!
Warning - dielectric constant εr is invalid!
Warning - invalid values!
Warning - (w/h) only valid from 0.1 to 2.0
Warning - trace thickness t is invalid!
Warning - substrate height h is invalid!
Warning - trace width w is invalid!
Warning - dielectric constant εr is invalid!
Warning - invalid values!